Pagina principale  |  Contatto  

Indirizzo e-mail

Password

Registrati ora!

Hai dimenticato la password?

DESENMASCARANDO LAS FALSAS DOCTRINAS
 
Novità
  Partecipa ora
  Bacheche di messaggi 
  Galleria di immagini 
 File e documenti 
 Sondaggi e test 
  Lista dei Partecipanti
 YHWH (DIOS PADRE) EL UNICO DIOS 
 JESUCRISTO NUESTRO MESIAS JUDIO 
 LOS DIEZ MANDAMIENTOS DE LA BIBLIA 
 MEJORE SU CARACTER Y SU VIDA 
 YOU TUBE-MAOR BA OLAM-LINKS 
 YOU TUBE-MAOR BA OLAM-LINKS II 
 BIBLIAS/CONCORDANCIA/LIBROS 
 MAYOR ENEMIGO DEL HOMBRE ES UNO MISMO 
 ¿LA TORA ES MACHISTA? -MENSAJE ESOTERICO Y EXOTERICO 
 ¿ES INMORTAL EL ALMA?- FALACIA DE LA ENCARNACION Y REENCARNACION 
 EL ISLAM TIENE ORIGEN UNITARIO ADOPCIONISTA 
 ANTIGUO TESTAMENTO-ESTUDIO POR VERSICULOS 
 NUEVO TESTAMENTO-ESTUDIOS POR VERSICULOS 
 NUEVO TESTAMENTO II-ESTUDIOS POR VERSICULOS 
 NUEVO TESTAMENTO III-ESTUDIOS POR VERSICULOS 
 CRISTO NO TUVO PREEXISTENCIA 
 ¿QUE ES EL ESPIRITU SANTO? 
 
 
  Strumenti
 
SEA UN CIENTIFICO CON LA BIBLIA: DINAMICA (DINA / DIANA / DAN / TRANSFIGURACION DE CRISTO) DE LOS FLUIDOS
Scegli un’altra bacheca
Argomento precedente  Argomento successivo
Rispondi  Messaggio 1 di 44 di questo argomento 
Da: BARILOCHENSE6999  (Messaggio originale) Inviato: 08/05/2015 15:40


Primo  Precedente  2 a 14 di 44  Successivo   Ultimo 
Rispondi  Messaggio 2 di 44 di questo argomento 
Da: BARILOCHENSE6999 Inviato: 08/05/2015 15:40

Dinámica de fluidos

www.sc.ehu.es/sbweb/fisica/fluidos/dinamica/bernoulli/bernouilli.htm
Dinámica de fluidos ... Se desprecia la fricción interna entre las distintas partes del fluido. 2. ... La velocidad del fluido en un punto es constante con el tiempo. 3.
  • Mecánica de fluidos - Wikipedia, la enciclopedia libre

    es.wikipedia.org/wiki/Mecánica_de_fluidos
    La mecánica de fluidos es la rama de la mecánica de medios continuos, rama de la física a su vez, que estudia el movimiento de los fluidos (gases y líquidos) ...
  • FisicaNet - Dinámica de los fluidos o hidrodinámica

    www.fisicanet.com.ar/fisica/dinamica_fluidos/ap01_hidrodinamica.php
    Apunte: Flujos incompresibles y sin rozamiento. Ecuación de Bernoulli. Flujos viscosos. Movimiento laminar y turbulento. Flujos de la capa límite.
  • [PDF]7. Dinámica de Fluidos

    www.ugr.es/~jtorres/t7.pdf
    La dinámica de fluidos estudia los fluidos en movimiento y es una de las ... Aunque cada gota de fluido cumple con las leyes del movimiento de Newton las ...
  • [PDF]Estática y Dinámica de Fluidos

    www.fis.puc.cl/~jalfaro/fis1503/clases/fluidos.pdf
    Estática y Dinámica de Fluidos. 1. Hidrostática. Principio de Pascal. Principio de Arquímedes. Conceptos básicos de hidrodinámica: • Una importante propiedad ...
  • clase 1: Teoría, Introducción a la Dinámica de Fluidos 1 ...

    www.youtube.com/watch?v=IisrIpvtlME
    9 ene. 2013 - Subido por Cesar Antonio Izquierdo Merlo
    Se define y describe lo que es un líquido en movimiento, se realiza un modelo de lo que es un fluido ideal, se ...
     
  • DINÁMICA DE FLUIDOS - ECUACIÓN DE BERNOULLI ...

    www.youtube.com/watch?v=TDklUVVJjuA
    18 feb. 2014 - Subido por Eusebio Molina Rodriguez
    Se interpreta la ecuación de Bernoulli y se resuelve un ejercicio.
     
  • Dinámica de fluidos - El Rincón del Vago

    html.rincondelvago.com/dinamica-de-fluidos.html
    DINÁMICA DE FLUIDOS. INTRODUCCIÓN: CONCEPTOS. Las moléculas de los fluidos pueden desplazarse libremente, lo que da lugar a que tengan una gran ...
  • [PDF]Dinamica de Fluidos: Principio de Bernoulli. Aplicaciones

    www.dfa.uv.cl/~jura/Fisica_I/semana_XIII_2.pdf
    Cuando un fluido está en movimiento, el flujo se puede clasificar en dos tipos: a) Flujo estacionario o laminar si cada partícula de fluido sigue una trayectoria ...
  • Dinamica de fluidos o hidrodinamica - SlideShare

    es.slideshare.net/fabi21/dinamica-de-fluidos-o-hidrodinamica
    31 may. 2010 - DINAMICA DE FLUIDOS O HIDRODINAMICA
    E
    sta rama de la mecánica de fluidos se ocupa de las leyes de los fluidos en ...

  •  

    Rispondi  Messaggio 3 di 44 di questo argomento 
    Da: BARILOCHENSE6999 Inviato: 08/05/2015 16:40
    Resultado de imagen para dinamica de los fluidos fisica
    Resultado de imagen para dinamica de los fluidos fisica
    Resultado de imagen para dinamica de los fluidos fisica
    Resultado de imagen para dinamica de los fluidos fisica
    Resultado de imagen para dinamica de los fluidos fisica
    Resultado de imagen para dinamica de los fluidos fisica
     
     
    EVERYTHING IS CONNECTED AND THERE ARE NO COINCIDENCES

    Rispondi  Messaggio 4 di 44 di questo argomento 
    Da: BARILOCHENSE6999 Inviato: 21/06/2015 14:18
     

    Efecto mariposa

    De Wikipedia, la enciclopedia libre
     
    Diagrama del atractor extraño que posee el modelo de Lorenz para el tiempo astmosférico para los valores r = 28, σ = 10, b = 8/3. Si bien este "atractor" del modelo tiene forma de mariposa, el nombre del concepto no tiene en sí mismo nada que ver con la forma del atractor.

    El efecto mariposa es un concepto de la teoría del caos. La idea es que, dadas unas condiciones iniciales de un determinado sistema dinámico caótico (más concretamente con dependencia sensitiva a las condiciones iniciales) cualquier pequeña discrepancia entre dos situaciones con una variación pequeña en los datos iniciales, acabará dando lugar a situaciones donde ambos sistemas evolucionan en ciertas formas completamente diferentes.

     

     

     

    Origen del término[editar]

    Eso implica que si en un sistema se produce una pequeña perturbación inicial, mediante un proceso de amplificación, podrá generar un efecto considerablemente grande a corto o mediano plazo de tiempo. Su nombre proviene de las frases: "el aleteo de las alas de una mariposa se puede sentir al otro lado del mundo" (proverbio chino) o "el aleteo de las alas de una mariposa puede provocar un Tsunami al otro lado del mundo", así como también "El simple aleteo de una mariposa puede cambiar el mundo". Esto debe interpretarse de la siguiente manera, imagínense dos mundos posibles casi idénticos, pero en el segundo hay una mariposa aleteando que en el primero no aparece siendo por los demás los dos mundos idénticos. A largo plazo el mundo con la mariposa y el mundo sin la mariposa acabarán siendo muy diferentes, en particular en uno de ellos puede producirse un tsunami o un tifón que el otro mundo no se produce.

    El término "efecto mariposa" por tanto fue acuñado a partir del resultado obtenido por el meteorólogo y matemático Edward Lorenz, relacionado con la sensibilidad a variaciones pequeñas en las condiciones iniciales, y los efectos sobre la predicción del clima atmosférico a largo plazo:

    En una determinada ocasión quiso volver a echar un vistazo a una simulación que ya había hecho, llevándola más lejos en el tiempo. En vez de comenzar desde el principio y esperar a que el ordenador llegara al intervalo que le interesaba, introdujo en el teclado los valores que ya tenía apuntados en el papel. Dejó la máquina trabajando y se fue a tomar un café. Después de una hora, la máquina había simulado dos meses de predicción atmosférica, y sucedió lo inesperado: Existían valores de los días que había simulado anteriormente que no coincidían con los que había calculado esta vez.

    Consecuencias inmediatas[editar]

    El clima atmosférico en el modelo simplificado de Lorentz se describía mediante tres ecuaciones diferenciales ordinarias acopladas. Siendo así, conociendo las condiciones iniciales, se podría conocer la predicción del clima en el futuro. Sin embargo, al ser éste un sistema caótico y no poder conocer nunca con exactitud los parámetros que fijan las condiciones iniciales (en cualquier sistema de medición, por definición, siempre se comete un error, por pequeño que éste sea) hace que, aunque se conozca el modelo, éste diverge de la realidad pasado un cierto tiempo (véase horizonte de predicciones). En el modelo de Lorentz la necesidad de usar un número finito de decimales en sus computaciones equivalía a que sólo el error de truncamiento en la última cifra decimal suponía una perturbación que se amplificaba con el tiempo impidiendo así una predicción más precisa del resultado de su modelo. El tiempo atmosférico es más complejo que el modelo de Lorenz pero se acepta que si el modelo simple ya presenta la característica de alta sensabilidad a las condiciones iniciales, y la presencia de un atractor extraño, cualquier modelo más complejo y realista que describa con mayor precisión el tiempo presentará características análogas. Eso implica que los modelos meteorológicos tienen un tiempo finito más allá del cual sus predicciones no resultan últiles al compararlas con la realidad, en la actualidad (2015) este tiempo se sitúa entre los 5 y los 10 días.

    Consecuencias generales[editar]

    Esta interrelación de causa-efecto se da en todos los eventos de la vida. Un pequeño cambio puede generar grandes resultados o hipotéticamente: "el aleteo de una mariposa en Hong Kong puede desatar una tormenta en Nueva York".

    La consecuencia práctica del efecto mariposa es que en sistemas complejos tales como el estado del tiempo o la bolsa de valores es muy difícil predecir con seguridad en un mediano rango de tiempo. Los modelos finitos que tratan de simular estos sistemas necesariamente descartan información acerca del sistema y los eventos asociados a él. Estos errores son magnificados en cada unidad de tiempo simulada hasta que el error resultante llega a exceder el cien por ciento

    Referencias[editar]

     

    Bibliografía[editar]

    Enlaces externos[editar]

     
    https://es.wikipedia.org/wiki/Efecto_mariposa
     

    Rispondi  Messaggio 5 di 44 di questo argomento 
    Da: BARILOCHENSE6999 Inviato: 22/04/2016 15:26
    EINSTEIN, LA TEORIA DE LA RELATIVIDAD, PERIHELIO DE MERCURIO Y EL GRIAL
    246
    BARILOCHENSE6999 21/04/2016 14:18
    BANDERA DE ISRAEL=911=666="RELOJ MASONICO"=SATURNO="MAQUINA DEL TIEMPO"
    134
    BARILOCHENSE6999 21/04/2016 14:17
    SATURNO=CRONOS=TOROIDE=ANILLO=20 DE ABRIL ("MAQUINA DEL TIEMPO")=CUBO
    329
    BARILOCHENSE6999 21/04/2016 14:17
    BODAS DE CANA=7/8 DIA=SABADO=GENESIS 3:14=22/7="EXPERIMENTO FILADELFIA"
    7
    BARILOCHENSE6999 21/04/2016 14:15
    EXPERIMENTO FILADELFIA=22 DE JULIO=DIA DE MARIA LA MAGDALENA
    492
    BARILOCHENSE6999 21/04/2016 14:14
    ¿PORQUE EINSTEIN NACIO EL DIA 14 DE MARZO OSEA UN 3:14=PI?
    27
    BARILOCHENSE6999 21/04/2016 14:14
    SAINT MARY MAGDALENE=CLOCK="MACHINE TIME"=HOLY GRAIL
    17
    BARILOCHENSE6999 21/04/2016 13:58
    ULTRA SECRETO MASONICO DETRAS DEL RELOJ
    562
    BARILOCHENSE6999 21/04/2016 13:57
    "SAGRADO CORAZON DE JESUS Y DE MARIA" (MAS JOVEN QUE JESUS=¿MARIA MAGDALENA?)
    25
    BARILOCHENSE6999 21/04/2016 13:54
    1 DE PEDRO 5:13=GENESIS 3:15="AGUJERO DE GUSANO"=JUAN MARCOS=VIRGEN DE GUADALUPE
    92
    BARILOCHENSE6999 21/04/2016 13:50
    CHICHEN ITZA-9 ESCALONES POR CUATRO LADOS=36=666 (GESTACION DE UN BEBE)
    7
    BARILOCHENSE6999 21/04/2016 13:50
    TIKAL=SABADO LUNAR=GESTACION DE UN BEBE=666 ("EXPERIMENTO FILADELFIA")
    14
    BARILOCHENSE6999 21/04/2016 13:49
    FUTBOL O FOOTBALL (CANCHA=CREACION DIVINA 8 DIAS=FASES DE LA LUNA)
    18
    BARILOCHENSE6999 21/04/2016 13:47
    NUMERO 8 (RELACION CON LA "MAQUINA DEL TIEMPO") / SERPIENTE Q SE MUERDE LA COLA
    91
    BARILOCHENSE6999 21/04/2016 13:45
    APOCALIPSIS 3:7=LLAVE DE DAVID=CANDADO="AGUJERO DE GUSANO"
    9
    BARILOCHENSE6999 21/04/2016 13:44
    TOROIDE=NUMERO OCHO=INFINITO (PATRON MATEMATICO DE CREACION DIVINA)=OCHO DIAS
    111
    BARILOCHENSE6999 21/04/2016 13:40
    SWASTIKA=15 DE SEPTIEMBRE=THE LOST SYMBOL=DIA DE LA SANTA CRUZ=RELOJ VATICANO
    121
    BARILOCHENSE6999 21/04/2016 13:37
    CUATRO (ORIGEN DEL SISTEMA SEXAGECIMAL)=SANTO GRIAL=CUADRATURA DEL CIRCULO
    34
    BARILOCHENSE6999 21/04/2016 13:36
    CUATRO FUERZAS QUE HAY EN EL UNIVERSO
    24
    BARILOCHENSE6999 21/04/2016 13:35
    ULTRA SECRETO X-MEN="EXPERIMENTO FILADELFIA"=TRANSFIGURACION DE CRISTO
    89
    BARILOCHENSE6999 21/04/2016 13:33
    NUMEROS REALES E IMAGINARIOS-RELACION CON EL PI
    9
    BARILOCHENSE6999 21/04/2016 13:24
    NUMERO DE EULER EN FUNCION AL PI Y AL PHI
    5
    BARILOCHENSE6999 21/04/2016 13:22
    RAMANUJAN (MATEMATICO DEL "AGUJERO DE GUSANO" Y DE LA "TEORIA DE LAS CUERDAS")
    22
    BARILOCHENSE6999 21/04/2016 13:21
    JUAN 8-JESUCRISTO RELACIONA A LA "RAMERA" CON EL "EXPERIMENTO FILADELFIA"
    27
    BARILOCHENSE6999 21/04/2016 13:03
    CRISTO RELACIONA EN JUAN 8, A LA "RAMERA" CON EL "EXPERIMENTO FILADELFIA"
    16
    BARILOCHENSE6999 21/04/2016 13:03
    JESUCRISTO PROFETIZO LA INDEPENDENCIA DE ESTADOS UNIDOS
    317
    BARILOCHENSE6999 21/04/2016 13:02
    CUARTO MANDAMIENTO-EL SABADO
    137
    BARILOCHENSE6999 21/04/2016 13:02
    PARA SEGUIR LAS EXPOSICIONES DEL FORO DIA A DIA
    546
    BARILOCHENSE6999 21/04/2016 13:02
    BODAS DE CANA (CONVERSION DEL AGUA EN VINO)=GRIAL=CESAR=SATURNO=SABADO LUNAR
    33
    BARILOCHENSE6999 21/04/2016 12:57
    BODAS DE CANA SON EL ANTITIPO DEL SABADO DE LA CREACION
    82
    BARILOCHENSE6999 21/04/2016 12:57
    PATRON MATEMATICO Y KAVALISTICO DE INDEP. DE ESTADOS UNIDOS=BODAS DE CANA
    21
    BARILOCHENSE6999 21/04/2016 12:57
    MARY MAGDALENE (ESTRELLA DE OCHO PUNTAS)-OCTAVO DIA (BODAS DE CANA-SAB. CREAC.)
    179
    BARILOCHENSE6999 21/04/2016 12:56
    BODAS DE CANA ES SINONIMO DE JESUCRISTO, MARIA MAGDALENA Y EL GRIAL
    51
    BARILOCHENSE6999 21/04/2016 12:56
    BODAS DE CANA SON EL SECRETO DEL PARALELO 33 DE LOS EEUU
    55
    BARILOCHENSE6999 21/04/2016 12:56
    BODAS DE CANA=ESTADOS UNIDOS=PARALELO 33=JUAN MARCOS=4/7=SEPTIMO DIA
    60
    BARILOCHENSE6999 21/04/2016 12:56
    MEXI-CAN=VATI-CAN=TEOTIHUA-CAN=KUKULCAN=CANAAN (BODA DE CANA=OCTAVO DIA=GUSANO)
    51
    BARILOCHENSE6999 21/04/2016 12:55
    11/9/2001=MARTES=GUERRA=SANGRE=LINAJE=ROJO=TERCER DIA=CANA=TRANSFIGURACION
    16
    BARILOCHENSE6999 21/04/2016 12:55
    22/7=3.14=MAGDALENA=MARTE=BODAS DE CANA=TERCER DIA (CREACION, RESUR. Y CANA)
    18
    BARILOCHENSE6999 21/04/2016 12:54
    EXPERIMENTO PHI-LADEL-PHI-A
    85
    BARILOCHENSE6999 21/04/2016 12:50
    666=SEPTIMO DIA=TERCER DIA=BODAS DE CANA=INDEPENDENCIA DE ESTADOS UNIDOS
    67
    BARILOCHENSE6999 21/04/2016 12:50
    4 DE JULIO DE 1776 DECODIFICADO / YOU TUBE
    233
    BARILOCHENSE6999 21/04/2016 12:50
    JESUCRISTO PROFETIZO LA INDEPENDENCIA DE ESTADOS UNIDOS
    186
    BARILOCHENSE6999 21/04/2016 12:49
    APOCALIPSIS 3:7 (MONSTRUOSA LLAVE MASONICO-DIVINA)=INDEPENDENCIA DE EEUU
    206
    BARILOCHENSE6999 21/04/2016 12:49
    2016=666*3+6+6+6=227 ANIVERSARIO REVOLUCION FRANCESA=EXPERIMENTO FILADELFIA
    17
    BARILOCHENSE6999 21/04/2016 12:48
    ESTADOS UNIDOS=GUSANO=G-USA-NO=NUEVA JER-USA-LEN=JONAS 4:7 (SEÑAL DE JONAS)
    84
    BARILOCHENSE6999 21/04/2016 12:48
    SIRIO=GOD=DOG=PERRO=LOBO=CHACAL=M47=EEUU=BENJAMIN=AGUJERO DE GUSANO
    123
    BARILOCHENSE6999 21/04/2016 12:47
    "EXPERIMENTO FILADELFIA" (MAQUINA DEL TIEMPO=AGUJERO DE GUSANO)=CODIGO DA VINCI
    176
    BARILOCHENSE6999 21/04/2016 12:47
    RELOJ=AGUJERO DE GUSANO=SERPIENTE=RELACION SEXUAL=4/7=PATRON UNIVERSAL
    210
    BARILOCHENSE6999 21/04/2016 12:47

    Rispondi  Messaggio 6 di 44 di questo argomento 
    Da: BARILOCHENSE6999 Inviato: 11/01/2017 17:51
    VERSICULO BIBLICO QUE "ANTICIPO" INFERNO, ESCRITO POR DAN BROWN
    DAN BROWN= SERPIENTE= "AGUJERO DE GUSANO"
    Resultado de imagen para dan brown inferno
     
    NOTEN EL NEXO DE DAN, CON LA SERPIENTE (VENECIA) Y EL CABALLO (PLAZA SAN MARCOS)
     
    7. Génesis 49:17 Será Dan SERPIENTE junto al camino, Víbora junto a la senda, Que muerde los talones del caballo, Y hace caer hacia atrás al jinete.
    Resultado de imagen para inferno venice
    VENECIA=PLAZA SAN MARCOS
    Resultado de imagen para sophie da vinci code
    Statue of St. Mark


    The Horses of St. Mark's


    The Winged Lion of St. Mark
     
     
     
    Reply Hide message Delete message  Message 28 of 28 on the subject 
    From: BARILOCHENSE6999 Sent: 07/01/2017 21:36
    7. Mateo 23:33 ¡Serpientes, generación de víboras! ¿Cómo escaparéis de la condenación del INFIERNO?
    Resultado de imagen para dan brown inferno
    Resultado de imagen para dan brown inferno
    MONTE HERMON (TRIBU DE DAN)
    DAN-IEL / PARALELO 33
    MON / MOON / LUNA / TRANSFIGURACION
    LINAJE DE A-DAN

    Rispondi  Messaggio 7 di 44 di questo argomento 
    Da: BARILOCHENSE6999 Inviato: 18/02/2017 16:58
    Resultado de imagen para flujo de tiempo

    Rispondi  Messaggio 8 di 44 di questo argomento 
    Da: BARILOCHENSE6999 Inviato: 18/02/2017 16:58
    Resultado de imagen para tiempo rio DE AGUA


    Reply  Message 146 of 146 on the subject 
    From: BARILOCHENSE6999 Sent: 18/02/2017 13:49
    Resultado de imagen para tiempo rio DE AGUA

    Rispondi  Messaggio 9 di 44 di questo argomento 
    Da: BARILOCHENSE6999 Inviato: 19/02/2017 22:01
    LOS FARISEOS NO QUIEREN QUE CRISTO SEA "HIJO DE ABRAHAM" (AGUA EST-ANC-ADA TIENE ENERGIA POTENCIAL)/ "AGUA VIVA" TIENE ENERGIA CINETICA

    GALATAS 4
    22.
    Porque está escrito que Abraham tuvo dos hijos; uno de la esclava, el otro de la libre. (CRISTO ES UN NUEVO ABRAHAM NUESTRO PADRE)
    23. Pero el de la esclava nació según la carne; mas el de la libre, por la promesa.
    24. Lo cual es una alegoría, pues estas mujeres son los dos pactos; el uno proviene del monte Sinaí, el cual da hijos para esclavitud; éste es Agar.
    25. Porque Agar es el monte Sinaí en Arabia, y corresponde a la Jerusalén actual, pues ésta, junto con sus hijos, está en esclavitud.
    26. Mas la Jerusalén de arriba, la cual es madre de todos nosotros, es libre. (NUEVA SARA=MARIA MAGDALENA)
    27. Porque está escrito: 
    Regocíjate, oh estéril, tú que no das a luz; 
    Prorrumpe en júbilo y clama, tú que no tienes dolores de parto; 
    Porque más son los hijos de las desolada, que de la que tiene marido.
    28. Así que, hermanos, nosotros, como Isaac, somos hijos de la promesa. (La mujer de Isaac, osea Rebeka, es madre de los mellizos ESAU Y JACOB. ISAAC ES SIMBOLO DE MARCOS Y DE LA IGLESIA EN ESTE CONTEXTO. TODO EL 911, EN EL MARCO A LAS TORRES GEMELAS OSEA GEMINIS, LA ESTATUA DE LA LIBERTAD, OSEA ORION TIENE REFERENCIA A LA PUERTA DE PLATA=SILVER GATE. ESTE ES EL MENSAJE 911)
    29. Pero como entonces el que había nacido según la carne perseguía al que había nacido según el Espíritu, así también ahora.
    30. Mas ¿qué dice la Escritura? Echa fuera a la esclava y a su hijo, porque no heredará el hijo de la esclava con el hijo de la libre.
    31.
    De manera, hermanos, que no somos hijos de la esclava, sino de la libre.

    Juan 7

    1. Después de estas cosas, andaba Jesús en Galilea; pues no quería andar en Judea, porque los judíos procuraban matarle.
    2. Estaba cerca la fiesta de los judíos, la de los tabernáculos; (En el contexto a LEVITICO 23:33, es del 15/7 hasta el 22/7)
    3. y le dijeron sus hermanos: Sal de aquí, y vete a Judea, para que también tus discípulos vean las obras que haces.
    4. Porque ninguno que procura darse a conocer hace algo en secreto. Si estas cosas haces, manifiéstate al mundo.
    5. Porque ni aun sus hermanos creían en él.
    6. Entonces Jesús les dijo: Mi tiempo aún no ha llegado, mas vuestro tiempo siempre está presto.
    7. No puede el mundo aborreceros a vosotros; mas a mí me aborrece, porque yo testifico de él, que sus obras son malas.
    8. Subid vosotros a la fiesta; yo no subo todavía a esa fiesta, porque mi tiempo aún no se ha cumplido.
    9. Y habiéndoles dicho esto, se quedó en Galilea.
    27. Pero éste, sabemos de dónde es; mas cuando venga el Cristo, nadie sabrá de dónde sea.
    28. Jesús entonces, enseñando en el templo, alzó la voz y dijo: A mí me conocéis, y sabéis de dónde soy; y no he venido de mí mismo, pero el que me envió es verdadero, a quien vosotros no conocéis.
    29. Pero yo le conozco, porque de él procedo, y él me envió.
    30. Entonces procuraban prenderle; pero ninguno le echó mano, porque aún no había llegado su hora.
    31. Y muchos de la multitud creyeron en él, y decían: El Cristo, cuando venga, ¿hará más señales que las que éste hace?
    32. Los fariseos oyeron a la gente que murmuraba de él estas cosas; y los principales sacerdotes y los fariseos enviaron alguaciles para que le prendiesen.
    33. Entonces Jesús dijo: Todavía un poco de tiempo estaré con vosotros, e iré al que me envió.
    34. Me buscaréis, y no me hallaréis; y a donde yo estaré, vosotros no podréis venir.
    35. Entonces los judíos dijeron entre sí: ¿Adónde se irá éste, que no le hallemos? ¿Se irá a los dispersos entre los griegos, y enseñará a los griegos?
    36. ¿Qué significa esto que dijo: Me buscaréis, y no me hallaréis; y a donde yo estaré, vosotros no podréis venir?
    37. En el último y gran día de la fiesta, Jesús se puso en pie y alzó la voz, diciendo: Si alguno tiene sed, venga a mí y beba. (El ultimo dia de la FIESTA DE LOS TABERNACULOS, es el septimo dia de la misma, osea el 21 de TISHRI, OSEA OSHANAH RABBAH que tiene fuerte connotacion con la SALVACION. EL MISMO NOMBRE JESUS TIENE ESTA REFERENCIA. EN EL MARCO A CONSIDERAR QUE EL DIA 22/7= OCTAVO DIA =LEVITICO 23:36 TENEMOS QUE EL 21/7=OSHANAH RABBAH=SEXTO DIA= SEXO=666= SISTEMA SEXAGECIMAL=EXAGONO/CUBO= ESPACIO/TIEMPO. EFECTIVAMENTE EN EL CALENDARIO LUNI-SOLAR HEBREO DICHO DIA NOS CAE EN EL DIA NUMERO 198=33*6 DEL MISMO.)
    38. El que cree en mí, como dice la Escritura, de su interior correrán ríos de agua viva.
    Resultado de imagen para colombia rio maria magdalena mapa fluvial
    Resultado de imagen para generacion electrica rio magdalena
    Resultado de imagen para VOLT TENSION
     
    Resultado de imagen para colombia rio maria magdalena
    Resultado de imagen para colombia rio maria magdalena
    Resultado de imagen para INODORO AGUA ENERGIA POTENCIAL
    Resultado de imagen para INODORO AGUA ENERGIA POTENCIAL DEPOSITO DE AGUA
    39. Esto dijo del Espíritu que habían de recibir los que creyesen en él; pues aún no había venido el Espíritu Santo, porque Jesús no había sido aún glorificado.
     
     
     

    Resultado de imagen para ciclo del agua biblia
    Resultado de imagen para VOLT TENSION

    Juan 8

    1. y Jesús se fue al monte de los Olivos.
    2. Y por la mañana volvió al templo, y todo el pueblo vino a él; y sentado él, les enseñaba. (A la mañana posterior al 21 de TISHRI, en el contexto a JUAN 7:39, es una referencia al 22 DE TISHRI O 22 DEL SEPTIMO MES. ESTO EXPLICA EL FUERTE MARCO DE MARIA MAGDALENA CON EL 22/7. Este dia ES DEL REGOCIJO EN LA TORAH Y LOS JUDIOS LEEN EL SALMO 119)
    3. Entonces los escribas y los fariseos le trajeron una mujer sorprendida en adulterio; y poniéndola en medio,
    4. le dijeron: Maestro, esta mujer ha sido sorprendida en el acto mismo de adulterio. (EL TITULO "MAESTRO" TIENE FUERTE CONNOTACION CON EL SALMO 119. EN LA ARGENTINA, EL DIA DEL MAESTRO ES JUSTO EL 11 DE SEPTIEMBRE EN HONOR A SARMIENTO)
    5. Y en la ley nos mandó Moisés apedrear a tales mujeres. Tú, pues, ¿qué dices?
    6. Mas esto decían tentándole, para poder acusarle. Pero Jesús, inclinado hacia el suelo, escribía en tierra con el dedo. (NOTEN LA REFERENCIA  SUBLIMINAL A LOS CUSITAS, OSEA A LA TIERRA DE ETIOPIA EL PAIS DE LA SERPIENTE.)
    7. Y como insistieran en preguntarle, se enderezó y les dijo: El que de vosotros esté libre sin pecado sea el primero en arrojar la piedra contra ella.(NOTEN LA IRONIA CON EL TERMINO "LIBRE", en el contexto a GALATAS 4:26 con referencia a la NUEVA JERUSALEN, LA QUE REINA EN EL CIELO. AQUI CRISTO NOS ESTA DICIENDO QUE EL TAMBIEN ES HIJO DE ABRAHAM)
    8. E inclinándose de nuevo hacia el suelo, siguió escribiendo en tierra.
    9. Pero ellos, al oír esto, acusados por su conciencia, salían uno a uno, comenzando desde los más viejos hasta los postreros; y quedó solo Jesús, y la mujer que estaba en medio.
    10. Enderezándose Jesús, y no viendo a nadie sino a la mujer, le dijo: Mujer,¿dónde están los que te acusaban? ¿Ninguno te condenó? (NOTEN EL FUERTE MENSAJE SUBLIMINAL CON REFERENCIA A CUS/ETIOPIA, CON USA/EEUU Y CON SABA/REINA DE SABA. TODO ESTO ES CODIGO DIVINO. LA REFERENCIA INSISTO ES CON ETIOPIA, EL PAIS DE LA SERPIENTE. ALLI ESTA LA CLAVE DEL GRIAL EN EL MARCO A JUAN MARCOS, EL LINAJE SAGRADO DE CRISTO Y MARIA MAGDALENA.)
    11. Ella dijo: Ninguno, Señor. Entonces Jesús le dijo: Ni yo te condeno; vete, y no peques más.
    12. Otra vez Jesús les habló, diciendo:Yo soy la luz del mundo; el que me sigue, no andará en tinieblas, sino que tendrá la luz de la vida.
    13. Entonces los fariseos le dijeron: Tú das testimonio acerca de ti mismo; tu testimonio no es verdadero.
    14. Respondió Jesús y les dijo: Aunque yo doy testimonio acerca de mí mismo, mi testimonio es verdadero, porque sé de dónde he venido y a dónde voy; pero vosotros no sabéis de dónde vengo, ni a dónde voy.
    15. Vosotros juzgáis según la carne; yo no juzgo a nadie.
    16. Y si yo juzgo, mi juicio es verdadero; porque no soy yo solo, sino yo y el que me envió, el Padre.
    17. Y en vuestra ley está escrito que el testimonio de dos hombres es verdadero. (LOS DOS TESTIGOS, SON UNA REFERENCIA A GEMINIS, OSEA LAS MISMAS TORRES GEMELAS. EL FUERTE MARCO DE WALL STREET, CON EL SIGNO PESO/SERPIENTE ES CONTEXTUAL INSISTO CON ETIOPIA. ESTO EXPLICA DEL PORQUE EL 11 DE SEPTIEMBRE, ES EL PRIMER DIA DEL CALENDARIO COPTO)
    ARGENTUM (PUERTA DE PLATA)
     
    GEMINIS EQUIVALEN A LAS TORRES GEMELAS
     
    COLUMNAS DE JACHIN Y BOAZ
     
    SOL-O-MON=SOL Y LUNA
    Resultado de imagen para pyramid 254 feet
     
     
    18. Yo soy el que doy testimonio de mí mismo, y el Padre que me envió da testimonio de mí.
    19. Ellos le dijeron: ¿Dónde está tu Padre? Respondió Jesús: Ni a mí me conocéis, ni a mi Padre; si a mí me conocieseis, también a mi Padre conoceríais.
    20. Estas palabras habló Jesús en el lugar de las ofrendas, enseñando en el templo; y nadie le prendió, porque aún no había llegado su hora.
    21. Otra vez les dijo Jesús: Yo me voy, y me buscaréis, pero en vuestro pecado moriréis; a donde yo voy, vosotros no podéis venir.
    22. Decían entonces los judíos: ¿Acaso se matará a sí mismo, que dice: A donde yo voy, vosotros no podéis venir?
    23. Y les dijo: Vosotros sois de abajo, yo soy de arriba; vosotros sois de este mundo, yo no soy de este mundo.
    24. Por eso os dije que moriréis en vuestros pecados; porque si no creéis que yo soy, en vuestros pecados moriréis.
    25. Entonces le dijeron: ¿Tú quién eres? Entonces Jesús les dijo: Lo que desde el principio os he dicho.
    26. Muchas cosas tengo que decir y juzgar de vosotros; pero el que me envió es verdadero; y yo, lo que he oído de él, esto hablo al mundo.
    27. Pero no entendieron que les hablaba del Padre.
    28. Les dijo, pues, Jesús: Cuando hayáis levantado al Hijo del Hombre, entonces conoceréis que yo soy, y que nada hago por mí mismo, sino que según me enseñó el Padre, así hablo.
    29. Porque el que me envió, conmigo está; no me ha dejado solo el Padre, porque yo hago siempre lo que le agrada.
    30. Hablando él estas cosas, muchos creyeron en él.
    31. Dijo entonces Jesús a los judíos que habían creído en él: Si vosotros permaneciereis en mi palabra, seréis verdaderamente mis discípulos;
    32. y conoceréis la verdad, y la verdad os hará libres.
    33. Le respondieron: Linaje de Abraham somos, y jamás hemos sido esclavos de nadie. ¿Cómo dices tú: Seréis libres? (Noten la REFERENCIA AL "LINAJE DE ABRAHAM". Es obvio que, en el contexto a la "RAMERA", es un nexo con GALATAS 4:26, osea NUESTRA MADRE QUE ESTA EN EL CIELO, LA NUEVA SARA)
    34. Jesús les respondió: De cierto, de cierto os digo, que todo aquel que hace pecado, esclavo es del pecado.
    35. Y el esclavo no queda en la casa para siempre; el hijo sí queda para siempre.
    36. Así que, si el Hijo os libertare, seréis verdaderamente libres.
    37. Sé que sois descendientes de Abraham; pero procuráis matarme, porque mi palabra no halla cabida en vosotros.
    38. Yo hablo lo que he visto cerca del Padre; y vosotros hacéis lo que habéis oído cerca de vuestro padre.
    39. Respondieron y le dijeron: Nuestro padre es Abraham. Jesús les dijo: Si fueseis hijos de Abraham, las obras de Abraham haríais. (LOS FARISEOS NO QUIEREN QUE CRISTO SEA "HIJO DE ABRAHAM")
    40. Pero ahora procuráis matarme a mí, hombre que os he hablado la verdad, la cual he oído de Dios; no hizo esto Abraham.
    41. Vosotros hacéis las obras de vuestro padre. Entonces le dijeron: Nosotros no somos nacidos de fornicación; un padre tenemos, que es Dios.
    42. Jesús entonces les dijo: Si vuestro padre fuese Dios, ciertamente me amaríais; porque yo de Dios he salido, y he venido; pues no he venido de mí mismo, sino que él me envió.
    43. ¿Por qué no entendéis mi lenguaje? Porque no podéis escuchar mi palabra.
    44. Vosotros sois de vuestro padre el diablo, y los deseos de vuestro padre queréis hacer. El ha sido homicida desde el principio, y no ha permanecido en la verdad, porque no hay verdad en él. Cuando habla mentira, de suyo habla; porque es mentiroso, y padre de mentira.
    45. Y a mí, porque digo la verdad, no me creéis.
    46. ¿Quién de vosotros me redarguye de pecado? Pues si digo la verdad, ¿por qué vosotros no me creéis?
    47. El que es de Dios, las palabras de Dios oye; por esto no las oís vosotros, porque no sois de Dios.
    48. Respondieron entonces los judíos, y le dijeron: ¿No decimos bien nosotros, que tú eres samaritano, y que tienes demonio?
    49. Respondió Jesús: Yo no tengo demonio, antes honro a mi Padre; y vosotros me deshonráis.
    50. Pero yo no busco mi gloria; hay quien la busca, y juzga.
    51. De cierto, de cierto os digo, que el que guarda mi palabra, nunca verá muerte.
    52. Entonces los judíos le dijeron: Ahora conocemos que tienes demonio. Abraham murió, y los profetas; y tú dices: El que guarda mi palabra, nunca sufrirá muerte.
    53. ¿Eres tú acaso mayor que nuestro padre Abraham, el cual murió? ¡Y los profetas murieron! ¿Quién te haces a ti mismo?
    54. Respondió Jesús: Si yo me glorifico a mí mismo, mi gloria nada es; mi Padre es el que me glorifica, el que vosotros decís que es vuestro Dios.
    55. Pero vosotros no le conocéis; mas yo le conozco, y si dijere que no le conozco, sería mentiroso como vosotros; pero le conozco, y guardo su palabra.
    56. Abraham vuestro padre se gozó de que había de ver mi día; y lo vio, y se gozó.
    57. Entonces le dijeron los judíos: Aún no tienes cincuenta años, ¿y has visto a Abraham?
    58. Jesús les dijo: De cierto, de cierto os digo: Antes que Abraham fuese, yo soy.
    59. Tomaron entonces piedras para arrojárselas; pero Jesús se escondió y salió del templo; y atravesando por en medio de ellos, se fue. (NOTEN LA IRONIA. LE TERMINAN TIRANDO PIEDRAS, AL IGUAL QUE LO HACIAN CON LA RAMERA. ES OBVIO QUE EL MENSAJE AQUI, ES QUE CRISTO ES UNA "NUEVA RAMERA", O QUE CRISTO ES MARIA MAGDALENA)
     

    Juan 9

    1. Al pasar Jesús, vio a un hombre ciego de nacimiento.
    2. Y le preguntaron sus discípulos, diciendo: Rabí, ¿quién pecó, éste o sus padres, para que haya nacido ciego? (NOTEN EL CONTEXTO DE CIEGO CON EL NACIMIENTO DE UN NIÑO. ILUMINACION PARA LA TORA, ES SINONIMO DE MUJER QUE DA A LUZ. LOS MISMOS OJOS ESTAN DISEÑADOS EN FUNCION AL SEXO FEMENINO.)
    3. Respondió Jesús: No es que pecó éste, ni sus padres, sino para que las obras de Dios se manifiesten en él.
    4. Me es necesario hacer las obras del que me envió, entre tanto que el día dura; la noche viene, cuando nadie puede trabajar.
    5. Entre tanto que estoy en el mundo, luz soy del mundo.
    6. Dicho esto, escupió en tierra, e hizo lodo con la saliva, y untó con el lodo los ojos del ciego,
    7. y le dijo: Ve a lavarte en el estanque de Siloé (que traducido es, Enviado). Fue entonces, y se lavó, y regresó viendo.
    8. Entonces los vecinos, y los que antes le habían visto que era ciego, decían: ¿No es éste el que se sentaba y mendigaba?
    9. Unos decían: El es; y otros: A él se parece. El decía: Yo soy. (EL CIEGO DICE "YO SOY". ¿ES YHWH EL CIEGO? OBVIO QUE NO. TODO ESTO DESTRUYE LA INTERPRETACION DE LA DIVINIDAD DE CRISTO EN ESTE MARCO)
    10. Y le dijeron: ¿Cómo te fueron abiertos los ojos?
    11. Respondió él y dijo: Aquel hombre que se llama Jesús hizo lodo, me untó los ojos, y me dijo: Ve al Siloé, y lávate; y fui, y me lavé, y recibí la vista.(PARA LA TORA "ILUMINACION" ES SINONIMO DE 9:11. Noten que seguimos en el OCTAVO DIA DE LA FIESTA DE LOS TABERNACULOS, que insisto, es en el dia en el cual los judios leen el SALMO 119)
     
     
     
    (EL 22/7, osea SIMCHAT TORA O REGOCIJO EN LA TORAH, en el calendario LUNI-SOLAR HEBREO CAE EN DIA DE REPOSO. ESTE ES EL SECRETO 911 EN EL MARCO AL 22/7, QUE EN LA IGLESIA CATOLICA, ES UNA REFERENCIA AL MISMO DIA DE MARIA LA MAGDALENA. LA PREGUNTA ES DEL PORQUE SIMCHAT TORAH TIENE ESTA CONNOTACION.)

    Rispondi  Messaggio 10 di 44 di questo argomento 
    Da: BARILOCHENSE6999 Inviato: 31/03/2017 17:39
    Quote:
    Originally Posted by shawnnweed View Post
    This is the very epitamy of 'As above so below' and as 'within so without'. My final conclusion. As above so below represents the elctromagnetic force that is applicable due to the geometric shape of the torrus which is the as within so without becuase this shape annd force permeates and effects everything of every size from the micro the macro.

    , Shawn
    indeed



    http://xenophilius.wordpress.com/200...-not-internal/

    Quote:
    Earth’s Magnetic Field Is Produced By An External Dynamo System, Not An Internal Dynamo.

    Researcher finds that Earth’s magnetic field is not produced by an internal dynamo. Nor is it produced by ocean current. The dynamo is outside the Planet! New findings by independent researcher, Dennis Brooks, show that Earth’s magnetic field and the planet itself are components of a complex dynamo system (fractal Engine ), which surrounds the planet. The planet and its magnetic field are part of the dynamo.
    watch the vedic video i posted, you'll see the egg

    food for thought:
    If the All is mental (ie: waves see: http://www.energeticforum.com/135748-post15.html and http://www.energeticforum.com/135680-post14.html ) so a chicken is a " complex polyphase field-coil/fractal antenna " laying a "complex polyphase field" egg..... ( principle of mentalism/principle of correspondence )


    __________________
    Signs and symbols rule the world, not words nor laws.” -Confucius.
     

    Rispondi  Messaggio 11 di 44 di questo argomento 
    Da: BARILOCHENSE6999 Inviato: 25/04/2017 01:03
    Resultado de imagen para VOLT TENSION
     
     
    Reply Hide message Delete message  Message 3 of 36 on the subject 
    From: BARILOCHENSE6999 Sent: 24/08/2016 21:39
    Resultado de imagen para VOLT TENSION
     
     
    Reply Hide message Delete message  Message 4 of 36 on the subject 
    From: BARILOCHENSE6999 Sent: 24/08/2016 21:43
    Resultado de imagen para VOLT TENSION
     
     
    Reply Hide message Delete message  Message 5 of 36 on the subject 
    From: BARILOCHENSE6999 Sent: 24/08/2016 21:46
    Resultado de imagen para VOLT TENSION
     
     
    Reply Hide message Delete message  Message 6 of 36 on the subject 
    From: BARILOCHENSE6999 Sent: 24/08/2016 22:21
    Resultado de imagen para VOLT TENSION
    EL MISMO RELOJ
     
     
    RESISTENCIA NOS AYUDA A ENTENDER LA RESURRECCION DE CRISTO
    8
    BARILOCHENSE6999 24/08/2016 21:53
    FRECUENCIA Y VELOCIDAD ANGULAR (OMEGA) DE LA CORRIENTE ALTERNA=MARIA MAGDALENA
    4
    BARILOCHENSE6999 24/08/2016 21:51
    NIKOLA TESLA Y SU RELACION CON EL EXPERIMENTO FILADELFIA
    154
    BARILOCHENSE6999 24/08/2016 21:48
    TENSION (VOLT)=VOLT=VENUS (MONSTRUOSO MENSAJE MASONICO)
    5
    BARILOCHENSE6999 24/08/2016 21:46
    TRANSFORMADOR ELECTRICO ES UN PATRON PARA RACIONALIZAR LA NUEVA CREACION
    16
    BARILOCHENSE6999 24/08/2016 21:43
    CODIGO DA VINCI=BIBLIA=FRANCO MASONERIA=IGLESIA CATOLICA=ALTO NIVEL CIENTIFICO
    258
    BARILOCHENSE6999 24/08/2016 21:34
    GUILLERMO MARCONI NACIO EN EL MISMO DIA DE SAN MARCOS
    23
    BARILOCHENSE6999 24/08/2016 21:33
    PARA EINSTEIN EL TIEMPO ES LA CUARTA DIMENSION POR SU NEXO CON 4TO MANDAMIENTO
    28
    BARILOCHENSE6999 24/08/2016 21:11
    ROSCA DE LA PASCUA=RESURRECCION=NUEVA CREACION=TOROIDE=BIG BANG
    51
    BARILOCHENSE6999 24/08/2016 21:09
    LETRA R=RESURRECCION=RAQUEL(OJO DE RA)=RELATIVIDAD=RENACIMIENTO=ESPACIO/TIEMPO
    31
    BARILOCHENSE6999 24/08/2016 21:07
    PRIMER PRINCIPIO DE LA TERMODINAMICA-JAMES WATT (CLAVE DE LA ILUMINACION)
    39
    BARILOCHENSE6999 24/08/2016 21:01
    SALMO 119 (APOCALIPSIS 1:8 Y 22:12)=PATRON CIENTIFICO DE CUALQUIER TIPO DE ONDA
    87
    BARILOCHENSE6999 24/08/2016 20:54
    THOMAS ALVA EDISON-(EL FOCO TAMBIEN ES UN GUSANO)-POSITIVO/JACHIN-NEGATIVO/BOAZ
    2
    BARILOCHENSE6999 24/08/2016 20:24
    C=VELOCIDAD DE LA LUZ=ISHTAR=299792 KM/SEG
    96
    BARILOCHENSE6999 24/08/2016 20:15
    VELOCIDAD DE LA LUZ, GIZE, ESTATUA DE LA LIBERTAD Y EL CODIGO DA VINCI
    74
    BARILOCHENSE6999 24/08/2016 20:14
    CIENTIFICOS DETECTAN "ONDAS GRAVITACIONALES" QUE PREDIJO EINSTEIN
    3
    BARILOCHENSE6999 24/08/2016 20:14

    Rispondi  Messaggio 12 di 44 di questo argomento 
    Da: BARILOCHENSE6999 Inviato: 08/05/2017 02:42
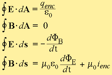
    BEBE (ECUACIONES DE MAXWELL)
     

    Ecuaciones de Maxwell[editar]

    Las ecuaciones de Maxwell como ahora las conocemos son las cuatro citadas anteriormente y a manera de resumen se pueden encontrar en la siguiente tabla:

    NombreForma diferencialForma integral
    Ley de Gauss: vec{ abla} cdot vec{E} = frac{ ho}{varepsilon_0} oint_{S} vec{E} cdot dvec{s} = frac {q}{varepsilon_0}
    Ley de Gauss para el campo magnético: vec{ abla} cdot vec{B} = 0 oint_S vec{B} cdot dvec{s} = 0
    Ley de Faraday: vec{ abla} 	imes vec{E} = - frac{partial vec{B}}{partial t} oint_C vec{E} cdot dvec{l} =  -  { d over dt } int_{S} vec{B} cdot dvec{s}
    Ley de Ampère generalizada: vec{ abla} 	imes vec{B} = mu_0 vec{J} + mu_0 varepsilon_0  frac{partial vec{E}}{partial t} oint_C vec{B} cdot dvec{l} = mu_0 int_S vec{J} cdot dvec{s} + mu_0 varepsilon_0 frac{d}{dt} int_S vec{E} cdot dvec{s}

    Estas cuatro ecuaciones junto con la fuerza de Lorentz son las que explican cualquier tipo de fenómeno electromagnético. Una fortaleza de las ecuaciones de Maxwell es que permanecen invariantes en cualquier sistema de unidades, salvo de pequeñas excepciones, y que son compatibles con la relatividad especial y general. Además Maxwell descubrió que la cantidad c = frac{1}{sqrt{varepsilon_{0} mu_0}} era simplemente la velocidad de la luz en el vacío, por lo que la luz es una forma de radiación electromagnética. Los valores aceptados actualmente para la velocidad de la luz, la permitividad y la permeabilidad magnética se resumen en la siguiente tabla:

    SímboloNombreValor numéricoUnidad de medida SITipo
     c   Velocidad de la luz en el vacío  2,99792458 	imes 10^{8} metros por segundo definido
      varepsilon_0 Permitividad  8,854 	imes 10^{-12} faradios por metro derivado
      mu_0  Permeabilidad magnética  4 pi 	imes 10^{-7} henrios por metro definido

      

     

     

     

     

     

     

     

     

     

     
     
    Reply Delete message  Message 5 of 16 on the subject 
    From: BARILOCHENSE6999 Sent: 02/11/2014 16:07
     

    Electromagnetismo: Las ecuaciones de maxwell

     
     
    Las ecuaciones de Maxwell resumen los principales resultados  experimentales del electromagnetismo, las formularemos para el vacío (suponiendo que no existen materiales dieléctricos ni magnéticos)

     
    Las ecuaciones de Maxwell. Parte 1

    Lamentablemente hay dos cosas que no entiendo aquí: La forma integral de las ecuaciones de Maxwell y el jodido inglés con el que están escritas
     
    AND THERE WAS  LIGHT

     

     

     

    Figura 10. Ecuaciones de Maxwell en el vacío.

     

     
     
     
    Reply Delete message  Message 6 of 16 on the subject 
    From: BARILOCHENSE6999 Sent: 02/11/2014 16:31
     
     
    Reply Delete message  Message 7 of 16 on the subject 
    From: BARILOCHENSE6999 Sent: 03/11/2014 20:45
     
     
    Reply Hide message Delete message  Message 4 of 4 on the subject 
    From: BARILOCHENSE6999 Sent: 03/11/2014 20:42

    Rispondi  Messaggio 13 di 44 di questo argomento 
    Da: BARILOCHENSE6999 Inviato: 18/11/2017 18:54
    Resultado de imagen para ISHTAR MARDUK MARTE
     
    DIANA / DENARIO / DINERO / DAN / TRANSFIGURACION / $$$$$$$$$$$
     
    MONEY / MONEDA / MOON / LUNA
     
     
    Reply Hide message Delete message  Message 34 of 35 on the subject 
    From: BARILOCHENSE6999 Sent: 17/11/2017 23:47
    Resultado de imagen para parabola de los talentos mateo 25 14-30
     
     
    Reply Hide message Delete message  Message 35 of 35 on the subject 
    From: BARILOCHENSE6999 Sent: 18/11/2017 00:11
    Resultado de imagen para parabola de los talentos mateo 25 14-30

    Rispondi  Messaggio 14 di 44 di questo argomento 
    Da: BARILOCHENSE6999 Inviato: 02/01/2018 13:43
    32. Génesis 30:6 Dijo entonces Raquel: Me juzgó Dios, y también oyó mi voz, y me dio un hijo. Por tanto llamó su nombre DAN.

    • Mateo 6:33: Mas buscad primeramente el reino de Dios y su JUSTICIA, y todas estas cosas os serán añadidas.


    Reply  Message 10 of 10 on the subject 
    From: BARILOCHENSE6999 Sent: 02/01/2018 09:52

    MARTES, 30 DE ABRIL DE 2013

    Olcoz-Eunate y la Astrología II: Apocalipsis y Escatología

     
    Que sea la constelación de Virgo el referente astrológico constructivo de San Miguel de Olcoz y Santa María de Eunate tiene igualmente unos componentes simbólicos derivados del Apocalipsis de Juan. Ello se debe a que María fue asimilada a la  "mujer vestida del sol, con la luna bajo sus pies, y sobre la cabeza una corona de doce estrellas" (Ap 12,1) que está a punto de dar a luz a un niño. La Gran Serpiente (dragón) quiere aniquilar a ambos pero el arcángel san Miguel y su ejército celestial le derrota. Esta escena visionaria fue representada de múltiples formas a lo largo del Medievo y posteriormente. 

    Visualización astrológica de los paneles de Torre Olcoz (Jesús Zulet)
    "Hubo un gran combate en los cielos. Miguel y sus ángeles lucharon contra el Dragón. También el Dragón y sus ángeles combatieron, pero no prevalecieron y no hubo ya lugar en el Cielo para ellos. Y fue arrojado el Dragón, la Serpiente antigua, el llamado Diablo y Satanás, el seductor del mundo entero; fue arrojado a la tierra y sus ángeles con él." (Ap. 12,7-9)  

    Escena apocalíptica, frescos de la iglesia de San Pietro al Monte (Civitate-Italia). Siglo XII.
     
    En  esta ascripción alegórica de la "mujer vestida de sol" con la Virgen María podemos encontrar, en la red de las "imágenes arquetípicas", a la Virgen que cantara Virgilio en su IV Égloga y que iba a dar  a luz a un Mesías que traería consigo una nueva Edad de Oro. La Virgen virgiliana era Astrea, la diosa de la Equidad-Justicia-Orden que ascendió a los cielos desilusionada de la humanidad durante la Edad del Bronce, y que durante la Edad de Oro enseñaba en las ciudades y en la Edad de Plata a los aldeanos de las montañas. Mas la Astrea virgiliana fue equiparada con la Virgen María y su Puer Avatar con Jesús.  Asimismo, en el Apocalipsis, la derrota de la Serpiente Antigua es el preludio de los acontecimientos que concluirán con el descenso de la Jerusalén Celeste (y de la Edad de Oro del Paraíso Celestial, por tanto).
    Pasajes escatológicos con el arcángel Miguel, en la iglesia navarra de San Miguel en Estella (Camino de Santiago como Eunate y Olcoz, y no muy lejos de ellas).
     Estas concatenaciones simbólicas se difundieron durante la Edad Media así que no es extraño que fuesen conocidas por los promotores-patrones de las iglesias de Olcoz y Eunate, y es fácil así comprender el trasfondo apocalíptico de la advocación de ambos templos a  Miguel Arcángel y a María, como los ha sabido igualmente mostrar Jesús Zulet (véase panel siguiente suyo)



    Asimismo existe un trasfondo escatológico puesto que San Miguel es el psicopompo en el Más Allá y quien pesa las obras buenas y malas en la balanza (tema ya presente en Egipto), y María es la Gran Mediadora en el Más Allá (además su antecesora astrológica, Astrea, era la diosa de la Justicia).

    Y abundando en lo escatológico, se sabe documentalmente que Santa María de Eunate era ya en 1219 sede de una cofradía de ánimas de los pueblos de Valdizarbe y entorno inmediato, como lo descubriera José María Jimeno Jurío. Además, como he dejado claro en otro lugar, buena parte de la iconología de Eunate puede adscribirse a los escenarios del inframundo escatológico, a la par que su vinculación arquitectónica a la Ascensión de Jerusalén y el capitel de la Ascensión de Cristo son igualmente escatológicos y de gran importancia para la esperanza en al resureccción y bienaventuranza en la Jerusalén Celeste.

    Si Virgo representa astrológicamente a la Virgen María en la cristianización del Zodíaco, San Miguel puede verse representado a su vez por Perseo, el vencedor de la Gorgona Medusa (a la cual se la representaba con la boca abierta y generalmente con la lengua fuera), que Jesús Zulet identifica con el personaje con capa que pisa la cabeza grotesca.

     Pero es que -añado yo por mi parte-, San Miguel igualmente puede quedar alegorizado mediante las balanzas, emblema del signo zodiacal Libra (Astrea -no lo olvidemos- quedó desglosada realmente como Virgo y Libra en el zodíaco).


    Detalle del panel realizado por Jesús Zulet de los cilos de Perseo y Virgo en Olcoz y Eunate


    Reply  Message 66 of 66 on the subject 
    From: BARILOCHENSE6999 Sent: 02/01/2018 09:22
    http://miradaesoterica.blogspot.com.ar/2013/04/olcoz-eunate-y-la-astrologia-ii.html
     
    http://miradaesoterica.blogspot.com.ar/2013/04/olcoz-eunate-y-la-astrologia-ii.html
     
    http://miradaesoterica.blogspot.com.ar/2013/04/olcoz-eunate-y-la-astrologia-ii.html
     

    Olcoz-Eunate y la Astrología II: Apocalipsis y Escatología

    miradaesoterica.blogspot.com/2013/04/olcoz-eunate-y-la-astrologia-ii.html
    30 abr. 2013 - Que sea la constelación de Virgo el referente astrológico constructivo de San Miguel de Olcoz y Santa María de Eunate tiene igualmente unos componentes simbólicos derivados del Apocalipsis de Juan. Ello se debe a que María fue asimilada a la "mujer vestida del sol, con la luna bajo sus pies, y sobre ...


    Primo  Precedente  2 a 14 de 44  Successivo   Ultimo 
    Argomento precedente  Argomento successivo
     
    ©2025 - Gabitos - Tutti i diritti riservati