Página principal  |  Contacto  

Correo electrónico:

Contraseña:

Registrarse ahora!

¿Has olvidado tu contraseña?

DESENMASCARANDO LAS FALSAS DOCTRINAS
 
Novedades
  Únete ahora
  Panel de mensajes 
  Galería de imágenes 
 Archivos y documentos 
 Encuestas y Test 
  Lista de Participantes
 YHWH (DIOS PADRE) EL UNICO DIOS 
 JESUCRISTO NUESTRO MESIAS JUDIO 
 LOS DIEZ MANDAMIENTOS DE LA BIBLIA 
 MEJORE SU CARACTER Y SU VIDA 
 YOU TUBE-MAOR BA OLAM-LINKS 
 YOU TUBE-MAOR BA OLAM-LINKS II 
 BIBLIAS/CONCORDANCIA/LIBROS 
 MAYOR ENEMIGO DEL HOMBRE ES UNO MISMO 
 ¿LA TORA ES MACHISTA? -MENSAJE ESOTERICO Y EXOTERICO 
 ¿ES INMORTAL EL ALMA?- FALACIA DE LA ENCARNACION Y REENCARNACION 
 EL ISLAM TIENE ORIGEN UNITARIO ADOPCIONISTA 
 ANTIGUO TESTAMENTO-ESTUDIO POR VERSICULOS 
 NUEVO TESTAMENTO-ESTUDIOS POR VERSICULOS 
 NUEVO TESTAMENTO II-ESTUDIOS POR VERSICULOS 
 NUEVO TESTAMENTO III-ESTUDIOS POR VERSICULOS 
 CRISTO NO TUVO PREEXISTENCIA 
 ¿QUE ES EL ESPIRITU SANTO? 
 
 
  Herramientas
 
MATEMATICAS: NUMERO DE EULER EN FUNCION AL PI Y AL PHI
Elegir otro panel de mensajes
Tema anterior  Tema siguiente
Respuesta  Mensaje 1 de 169 en el tema 
De: BARILOCHENSE6999  (Mensaje original) Enviado: 07/07/2017 17:15


Reply Hide message Delete message  Message 5 of 8 on the subject 
From: BARILOCHENSE6999 Sent: 21/04/2016 13:22


Reply Hide message Delete message  Message 6 of 8 on the subject 
From: BARILOCHENSE6999 Sent: 06/07/2017 23:00

The Language of the Divine Architect

The creation myths of many traditions describe the universe as the work of a Divine Architect who uses “sacred geometry” to unfold the dimensions of a beautiful cosmos, wisely designing every aspect of it, and governing by just proportions evidenced in the geometric shapes and processes of nature.

The language of God is mathematical language of numbers, proportions and (sacred) geometry.

“As Above, So Below” – these words circulate throughout occult and magical circles, and they come from Hermetic texts. The concept was first laid out in The Emerald Tablet of Hermes Trismegistus, in the words “That which is Below corresponds to that which is Above, and that which is Above, corresponds to that which is Below, to accomplish the miracles of the One Thing”

The entire Universe (including our solar system, as well as atoms, DNA and life-forms) reveals the secrets of balance, rhythm, proportion and unity in diversity, the fractal  interconnection of parts with each other and the whole. This harmony is expressed by some “key” numbers: Fibonacci Series, Phi, Pi and “e”.

The first 21 Fibonacci numbers:  
0     1     1     2     3     5     8     13     21     34     55     89     144     233     377     610     987     1597     2584     4181     6765

A simple number pattern, known as the Fibonacci Series, sits at the heart of  the marvelous architecture and patterns of life and growth.

These few equations are the “seeds” of  God’s “Grand Design” ( God’s “fingerprint”):

Pi = (6/5) * phi2

 Euler’s Identity Equation:

where
e   – is Euler’s number, the base of natural logarithms
i   –  is the imaginary unit, which satisfies i2 = sqrt(-1)
Pi – is the ratio of the circumference of a circle to its diameter

phi- is the the golden ratio number 1.618034

Mathematical beauty of Euler’s Identity

Euler’s identity is considered by many to be remarkable for its mathematical beauty. These three basic arithmetic operations occur exactly once each: addition, multiplication, and exponentiation. The identity also links five fundamental mathematical constants:
The number 0, the additive identity.
The number 1, the multiplicative identity.
The number Pi, which is ubiquitous in trigonometry, the geometry of Euclidean space, and analytical mathematics (Pi = 3.14159265…)
The number e, the base of natural logarithms, which occurs widely in mathematical and scientific analysis (e = 2.718281828…). Both “pi” and “e” are transcendental numbers.
The number i, the imaginary unit of the complex numbers, a field of numbers that contains the roots of all polynomials (that are not constants), and whose study leads to deeper insights into many areas of algebra and calculus, such as integration in calculus.
Furthermore, in algebra and other areas of mathematics, equations are commonly written with zero on one side of the equals sign.

A poll of readers conducted by The Mathematical Intelligencer magazine named Euler’s identity as the “most beautiful theorem in mathematics”. Another poll of readers that was conducted by Physics World magazine, in 2004, chose Euler’s identity tied with Maxwell’s equations (of electromagnetism) as the “greatest equation ever”  — Wikipedia

 A simple number pattern, known as the Fibonacci Series, sits at the heart of  the marvelous architecture and patterns of life and growth.

 Pi and phi

Pi = (6/5) * phi2

 300 * Pi = 360 * phi2

For a circle with radius = 1 we get this equation for 
(close approximation of) its circumference:

2 * Pi = (360/150) * phi2

There is another way to write this equation:

Pi – Phi2 = 0.2 * phi2

Lets calculate the value:

Pi – phi = 0.5236
this number in meters is equal 20.614 inches = 1 Royal Egyptian Cubit 
(unit of length used by ancient Egyptians during construction of pyramids)

3:6:9

“If you only knew the magnificence of the 3, 6 and 9, then you would have a key to the universe.” –-N.Tesla

Perhaps Tesla had in mind another thing altogether.  It basically boiled down to energy/field/consciousness, which equates in to electricity/magnetism/consciousness, that made up Trinity. Energy is your divine spark, and field is the area you exist within. The 2 things that allow consciousness to isolate itself is electricity and magnetism. NOTHING in the physical universe exists outside energy and field…only then can you have consciousness reside inside a material existence.

3:6:9 … Perhaps these numbers were intentionally expressed by the pyramids of Giza…? There are 9 pyramids on the Giza plateau: 3 large pyramids and 6 small “satellite” pyramids. Also, the design of the Second (Khafre) Pyramid of Giza  is based on ratio 9:6.

Note: 6:5 is another special ratio used in ancient times

The Fibonacci series has a pattern that repeats every 24 numbers

Numeric reduction is a technique used in analysis of numbers in which all the digits of a number are added together until only one digit remains.  As an example, the numeric reduction of 256 is 4 because 2+5+6=13 and 1+3=4.  Applying numeric reduction to the Fibonacci series produces an infinite series of 24 repeating digits:

1, 1, 2, 3, 5, 8, 4, 3, 7, 1, 8, 9, 8, 8, 7, 6, 4, 1, 5, 6, 2, 8, 1, 9

If you take the first 12 digits and add them to the second twelve digits and apply numeric reduction to the result, you find that they all have a value of 9.

1st 12 numbers:                                              1    1    2    3    5    8    4    3    7    1    8    9
2nd 12 numbers:                                             8    8    7    6    4    1    5    6    2    8    1    9
Numeric reduction – Add rows 1 and 2:             9    9    9    9    9    9    9    9    9    9    9   18
Final numeric reduction – Add digits of result:    9    9    9    9    9    9    9    9    9    9    9    9

This pattern was contributed both by Joseph Turbeville and then again by a mathematician by the name of Jain.

 
http://blog.world-mysteries.com/science/the-language-of-god/


Primer  Anterior  2 a 4 de 169  Siguiente   Último 
Respuesta  Mensaje 2 de 169 en el tema 
De: BARILOCHENSE6999 Enviado: 07/07/2017 17:16

La Igualdad de Euler

 
Leonhard Euler fue un matemático y físico suizo que vivió en el siglo XVIII. Es considerado uno de los grandes genios de la historia de la Ciencia. A él le debemos la existencia del número que lleva su nombre, el número e. Si quisiésemos hablar de todo lo que hizo, esta entrada se haría interminable, por lo que hoy me centraré en la famosa Ecuación de Euler:


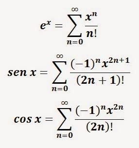
Vamos a intentar demostrar esta identidad de gran belleza a partir de las Series de Taylor y Maclaurin, que son representaciones de una función (como el seno, el coseno o una exponencial) a partir de la suma de infinitos términos. Por ejemplo: sen 45º se puede escribir como la suma de infinitos sumandos que converge hacia el valor concreto del sen 45º. Las series que necesitaremos son las siguientes:
 
 
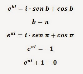
También necesitaremos algo de números complejos. Recordemos que un número complejo z puede escribirse como z = a + bi, siendo i la unidad imaginaria (raiz cuadrada de -1). Podemos escribir lo siguiente:
 
 
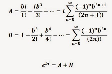
Ahora intentemos escribirlo mediante las Series de Taylor:
 
 
Podemos observar que hay algunos términos que poseen la unidad imaginaria i, pero otros no. Vamos a llamar A a la suma de los términos que incluyen i, y B a la suma de los que no:
 
 
Siendo un poco observadores, podemos escribir lo siguiente:
 
 
Ahora vamos a igualar b al número pi:
 
 
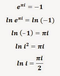
Con lo que queda demostrada la Identidad de Euler, dotada de una belleza espectacular y de misterio. Relaciona los cinco números básicos de las Matemáticas de una forma asombrosamente básica.
 
No sabemos cuál es su significado, pero sabemos que es verdad: una verdad eterna y bella, por lo que muchos la consideran la igualdad más importante de las Matemáticas.
 
 
Podemos tomar logaritmo neperiano a ambos lados y observar cuánto vale el logaritmo neperiano de -1:
 
 
Si os ha gustado la entrada matemática de hoy, os invito a comentar y compartirla. 
Un saludo, nos vemos en la próxima!
http://cienciacomonunca.blogspot.com.ar/2015/01/la-igualdad-de-euler.html


Reply Hide message Delete message  Message 8 of 8 on the subject 
From: BARILOCHENSE6999 Sent: 07/07/2017 14:12
https://www.youtube.com/watch?v=6wjnbP-KJ-g

Respuesta  Mensaje 3 de 169 en el tema 
De: BARILOCHENSE6999 Enviado: 07/07/2017 17:19

EL NUMERO pi y EL NUMERO e

 
EL NUMERO

π (pi) es un número irracional, cociente entre la longitud de la circunferencia (perímetro) y la longitud de su diámetro. Se emplea frecuentemente en matemáticas, física e ingeniería. El valor numérico de π, truncado a sus primeras cifras, es el que se muestra en la figura anterior.
La notación con la letra griega π proviene de la inicial de las palabras de origen griego "περιφέρεια" (periferia) y "περίμετρον" (perímetro) de un círculo. Esta notación fue usada por primera vez en 1706 por el matemático galés William Jones y popularizada por el matemático Leonhard Euler en su obra «Introducción al cálculo infinitesimal» de 1748. Fue conocida anteriormente como constante de Ludolph (en honor al matemático Ludolph van Ceulen) o como constante de Arquímedes (no se debe confundir con el número de Arquímedes).
El valor de π ha sido conocido con distinta precisión a lo largo de la historia, siendo una de las constantes matemáticas que más aparece en las ecuaciones de la física, junto con el número e. Tal vez por ello sea la constante que más pasiones desata entre los matemáticos profesionales y aficionados.


83.431 dígitos de Pi

83,431 Recited Digits of Pi - Akira Haraguchi, de 59 años, Japón, batió el récord del mundo al recitar 83.431 dígitos del número Pi de memoria, para lo que necesitó más de trece horas. Superó por prácticamente el doble el anterior récord del mundo de 42.195 dígitos, del también japonés Hiroyuki Goto (...) En Pi-World-Ranking-List están las reglas para participar, y hay una lista de récords organizados por continentes y países. Además de π también hay récords para e y para la raíz cuadrada de 2

Poster de Pi con 350.00 dígitos

Un poster de Pi con 350.000 digitos disponible en PDF para imprimirlo en gigantografia y ponerlo en la pared.

Descargar Poster

Página Web con el numero PI

http://3.141592653589793238462643383279502884197169399375105820974944592.com/


EL NUMERO

El número e es uno de los números más importantes en la matemática, junto con el número π, la unidad imaginaria i y el 0 y el 1, por ser los elementos neutros de la adición y la multiplicación, respectivamente. Curiosamente, la identidad de Euler los relaciona (e^iπ+1=0) de manera asombrosa. Además, en virtud de la fórmula de Euler, es posible expresar cualquier número complejo en notación exponencial.
El número e es llamado ocasionalmente número de Euler, debido al matemático suizo Leonhard Euler, o también constante de Neper, en honor al matemático escocés John Napier, quien introdujo el concepto de logaritmo al cálculo matemático. La constante e no debe ser confundida con γ, la constante de Euler-Mascheroni, a la que a veces se hace referencia como constante de Euler.
El número e, base de los logaritmos naturales o neperianos, es sin duda el número más importante del campo del cálculo, debido principalmente a que la función e^x coincide con su derivada, y por lo tanto, esta función exponencial suele aparecer en el resultado de ecuaciones diferenciales sencillas. Como consecuencia de esto, describe el comportamiento de acontecimientos físicos regidos por ecuaciones diferenciales sencillas, como pueden ser la velocidad de vaciado de un depósito de agua, el giro de una veleta frente a una ráfaga de viento, el movimiento del sistema de amortiguación de un automóvil o el cimbreo de un edificio metálico en caso de terremoto. Si nos fijamos con atención, en todos estos ejemplos podemos encontrar el número e. De la misma manera, aparece en muchos otros campos de la ciencia y la técnica, describiendo fenómenos eléctricos y electrónicos (descarga de un condensador, la amplificación de corrientes en transistores BJT, etc.), biológicos (crecimiento de células, etc.) , químicos (concentración de iones, periodos de semidesintegración, etc.), y muchos más.
El número e, al igual que el número π, es un número trascendente, es decir, que no puede ser obtenido directamente mediante la resolución de una ecuación algebraica. Por lo tanto, es un irracional y su valor exacto no puede ser expresado como un número finito de cifras decimales o con decimales periódicos.

Poster de e con 350.390 dígitos

Poster de e con 350.390 dígitos disponible en PDF para imprimirlo en gigantografia.

http://xhuertas.blogspot.com.ar/2008/11/el-numero-pi-y-el-numero-e.html


Respuesta  Mensaje 4 de 169 en el tema 
De: BARILOCHENSE6999 Enviado: 07/07/2017 17:47
https://matelucia.wordpress.com/1-posicion-relativa-de-recta/3-6-prismas-y-piramides/


Primer  Anterior  2 a 4 de 169  Siguiente   Último 
Tema anterior  Tema siguiente
 
©2025 - Gabitos - Todos los derechos reservados